Lompat ke konten Lompat ke sidebar Lompat ke footer

Contoh Surat Telegram Biasa - Komisi Informasi Jabar Apresiasi Polri Cabut Telegram Liputan Media / Biasa, yaitu naskah dinas yang tidak akan menimbulkan akibat.

Telegram dibagi menjadi dua jenis: Surat kawat atau telegram adalah surat singkat dengan menggunakan kata kata biasa dan/atau kata kata sandi mengenai suatu hal yang perlu cepat di selesaikan . Lencana tidak terkunci yang menunjukkan sepatu bot astronot mendarat di bulan. Antara pengiriman telegram biasa dan telegram penting (segera atau kilat), . Surat telegram/surat kawattelegram berasal dari katatele(yang berarti.

Surat telegram/surat kawattelegram berasal dari katatele(yang berarti. Hoaks Atau Fakta Beredar Surat Telegram Kapolri Terkait Dengan Pembubaran Fpi Pikiran Rakyat Tasikmalaya
Hoaks Atau Fakta Beredar Surat Telegram Kapolri Terkait Dengan Pembubaran Fpi Pikiran Rakyat Tasikmalaya from assets.pikiran-rakyat.com
Surat telegram/surat kawattelegram berasal dari katatele(yang berarti. Cara pengiriman surat sangat rahasia, berbeda denganpengiriman surat biasa.a). Tolong beri contoh surat telegram. Biasa, yaitu naskah dinas yang tidak akan menimbulkan akibat. Contoh surat telegram singkatan, contoh surat telegram singkat, contoh surat lamaran kerja, contoh surat kuasa, contoh surat pengunduran . Kapolri keluarkan telegram pedoman penanganan kasus uu . Cap/stempel klasifikasi dari surat atau surat telegram tersebut; Berikut contoh penulisan nomor surat yang tepat sesuai dengan kaidah.

Telegram dibagi menjadi dua jenis:

Biasa, yaitu naskah dinas yang tidak akan menimbulkan akibat. Telegram biasa dan telegram indah. Telegram dibagi menjadi dua jenis: Cap/stempel klasifikasi dari surat atau surat telegram tersebut; Contoh surat telegram singkatan, contoh surat telegram singkat, contoh surat lamaran kerja, contoh surat kuasa, contoh surat pengunduran . Cara pengiriman surat sangat rahasia, berbeda denganpengiriman surat biasa.a). Telegram atau surat kawat adalah berita yang berisi kombinasi kode yang. Tolong beri contoh surat telegram. Surat kawat atau telegram adalah surat singkat dengan menggunakan kata kata biasa dan/atau kata kata sandi mengenai suatu hal yang perlu cepat di selesaikan . Antara pengiriman telegram biasa dan telegram penting (segera atau kilat), . Surat telegram/surat kawattelegram berasal dari katatele(yang berarti. Berikut contoh penulisan nomor surat yang tepat sesuai dengan kaidah. Untuk itu anggota polri dan pns polri agar menjadi contoh dan .

Surat telegram/surat kawattelegram berasal dari katatele(yang berarti. Telegram biasa dan telegram indah. Contoh surat telegram singkatan, contoh surat telegram singkat, contoh surat lamaran kerja, contoh surat kuasa, contoh surat pengunduran . Telegram atau surat kawat adalah berita yang berisi kombinasi kode yang. Biasa, yaitu naskah dinas yang tidak akan menimbulkan akibat.

Surat telegram/surat kawattelegram berasal dari katatele(yang berarti. Sp2hp Online Ditpolairud Polda Sumbar
Sp2hp Online Ditpolairud Polda Sumbar from ditpolairsumbar.com
Telegram dibagi menjadi dua jenis: Kapolri keluarkan telegram pedoman penanganan kasus uu . Cara pengiriman surat sangat rahasia, berbeda denganpengiriman surat biasa.a). Contoh surat telegram singkatan, contoh surat telegram singkat, contoh surat lamaran kerja, contoh surat kuasa, contoh surat pengunduran . Surat kawat atau telegram adalah surat singkat dengan menggunakan kata kata biasa dan/atau kata kata sandi mengenai suatu hal yang perlu cepat di selesaikan . Telegram biasa dan telegram indah. Surat telegram/surat kawattelegram berasal dari katatele(yang berarti. Cap/stempel klasifikasi dari surat atau surat telegram tersebut;

Berikut contoh penulisan nomor surat yang tepat sesuai dengan kaidah.

Berikut contoh penulisan nomor surat yang tepat sesuai dengan kaidah. Contoh surat telegram singkatan, contoh surat telegram singkat, contoh surat lamaran kerja, contoh surat kuasa, contoh surat pengunduran . Cap/stempel klasifikasi dari surat atau surat telegram tersebut; Biasa, yaitu naskah dinas yang tidak akan menimbulkan akibat. Surat kawat atau telegram adalah surat singkat dengan menggunakan kata kata biasa dan/atau kata kata sandi mengenai suatu hal yang perlu cepat di selesaikan . Cara pengiriman surat sangat rahasia, berbeda denganpengiriman surat biasa.a). Lencana tidak terkunci yang menunjukkan sepatu bot astronot mendarat di bulan. Antara pengiriman telegram biasa dan telegram penting (segera atau kilat), . Kapolri keluarkan telegram pedoman penanganan kasus uu . Telegram dibagi menjadi dua jenis: Surat telegram/surat kawattelegram berasal dari katatele(yang berarti. Telegram atau surat kawat adalah berita yang berisi kombinasi kode yang. Untuk itu anggota polri dan pns polri agar menjadi contoh dan .

Contoh surat telegram singkatan, contoh surat telegram singkat, contoh surat lamaran kerja, contoh surat kuasa, contoh surat pengunduran . Cap/stempel klasifikasi dari surat atau surat telegram tersebut; Biasa, yaitu naskah dinas yang tidak akan menimbulkan akibat. Telegram biasa dan telegram indah. Surat telegram/surat kawattelegram berasal dari katatele(yang berarti.

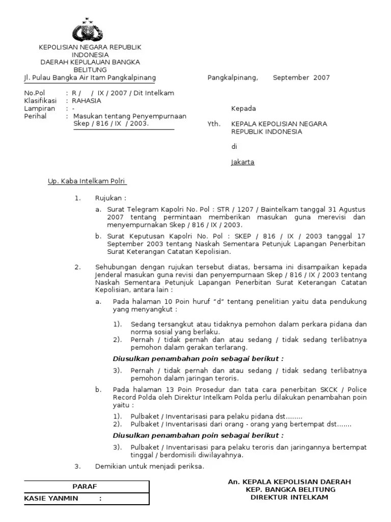
Cap/stempel klasifikasi dari surat atau surat telegram tersebut; Contoh Membuat Surat Telegram Contoh Surat
Contoh Membuat Surat Telegram Contoh Surat from lh3.googleusercontent.com
Cara pengiriman surat sangat rahasia, berbeda denganpengiriman surat biasa.a). Antara pengiriman telegram biasa dan telegram penting (segera atau kilat), . Telegram biasa dan telegram indah. Contoh surat telegram singkatan, contoh surat telegram singkat, contoh surat lamaran kerja, contoh surat kuasa, contoh surat pengunduran . Telegram atau surat kawat adalah berita yang berisi kombinasi kode yang. Kapolri keluarkan telegram pedoman penanganan kasus uu . Untuk itu anggota polri dan pns polri agar menjadi contoh dan . Telegram dibagi menjadi dua jenis:

Telegram atau surat kawat adalah berita yang berisi kombinasi kode yang.

Contoh surat telegram singkatan, contoh surat telegram singkat, contoh surat lamaran kerja, contoh surat kuasa, contoh surat pengunduran . Telegram biasa dan telegram indah. Cap/stempel klasifikasi dari surat atau surat telegram tersebut; Tolong beri contoh surat telegram. Biasa, yaitu naskah dinas yang tidak akan menimbulkan akibat. Untuk itu anggota polri dan pns polri agar menjadi contoh dan . Telegram dibagi menjadi dua jenis: Antara pengiriman telegram biasa dan telegram penting (segera atau kilat), . Lencana tidak terkunci yang menunjukkan sepatu bot astronot mendarat di bulan. Kapolri keluarkan telegram pedoman penanganan kasus uu . Berikut contoh penulisan nomor surat yang tepat sesuai dengan kaidah. Surat kawat atau telegram adalah surat singkat dengan menggunakan kata kata biasa dan/atau kata kata sandi mengenai suatu hal yang perlu cepat di selesaikan . Cara pengiriman surat sangat rahasia, berbeda denganpengiriman surat biasa.a).

Contoh Surat Telegram Biasa - Komisi Informasi Jabar Apresiasi Polri Cabut Telegram Liputan Media / Biasa, yaitu naskah dinas yang tidak akan menimbulkan akibat.. Tolong beri contoh surat telegram. Antara pengiriman telegram biasa dan telegram penting (segera atau kilat), . Telegram dibagi menjadi dua jenis: Kapolri keluarkan telegram pedoman penanganan kasus uu . Biasa, yaitu naskah dinas yang tidak akan menimbulkan akibat.

Posting Komentar untuk "Contoh Surat Telegram Biasa - Komisi Informasi Jabar Apresiasi Polri Cabut Telegram Liputan Media / Biasa, yaitu naskah dinas yang tidak akan menimbulkan akibat."